
研究背景与目标
当前市场竞争激烈,提升服务提供者的平均收入变得尤为重要。本研究正是针对这一问题展开,旨在探寻一种能够在广阔视野中优化服务提供者平均收入的动态定价方法。鉴于市场环境的复杂性,这一研究具有很高的现实价值。例如,一些打车服务正在不断尝试,寻求通过调整价格策略来提升整体运营效益。

现今,众多行业的服务提供者都在多变的市场环境中寻求提升收入。为此,研究综合分析了众多复杂因素,力求构建一套科学且合理的动态定价方案。这样做,旨在助力服务提供者在持续经营中实现收益最大化。

核心变量介绍
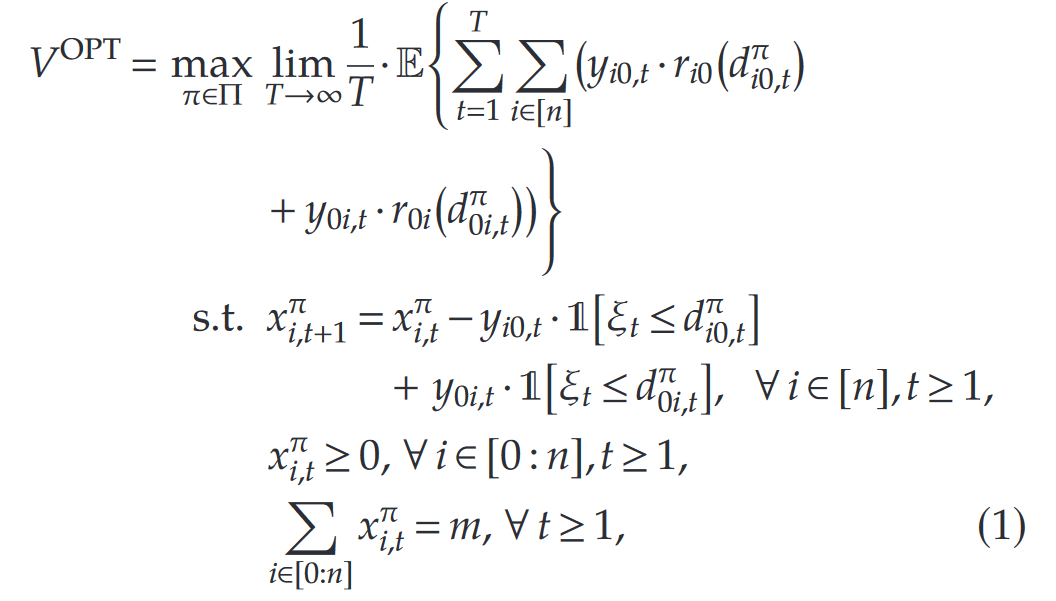
在研究中,变量xitπ指的是在t时刻,地点i采用策略π时的资源存量。这一设定至关重要,它揭示了不同地点在不同时间点的资源状况。以一个城市的交通网络为例,不同区域在各个时间段内可用的打车资源量,便可以通过这个变量来体现。
对中心的资源数量限制,即所有xi,tπ之和不超过m,我们采用拉格朗日乘子λ来放宽这一限制。这样处理使得资源数量可以出现负值,不过每个资源都会产生一个成本λ。这种做法为后续动态定价问题的研究带来了方便。
问题分解策略
将动态定价难题拆分成若干个子问题,每个子问题都与网络中的某个支点相对应。在那些规模庞大的中心辐射式网络中,各个支点的状况各不相同。通过将大问题拆分,我们可以进行更为精确的研究。
分析各个spoke的细节,逐一剖析问题,有助于我们更深入地了解各区域市场的独特之处和所需资源,从而为构建更为贴切的定价方案打下坚实的基础。这就像是对一个城市的各个区域逐一进行调研,然后制定出具有针对性的政策。
策略性能证明
该策略在完全约束和部分约束的系统中的表现十分相似。这说明,即便是在约束条件有所放宽的情况下,该策略在实践中的应用同样能够展现出良好的效果。
针对那些spoke数和资源数同步增加的宽大轮辐网络,拉格朗日方法逐渐展现出其最优性。这一发现对于宽广网络领域至关重要,它表明运用此策略,服务提供者有望在长期运营中实现接近理想水平的平均收益。

模型创新之处
本项研究独到地分析了网络架构,尤其是中心辐射式网络架构对动态定价策略的作用。以往的研究常常忽视了网络架构这一要素,而本项研究则对此进行了补充。

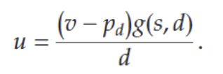
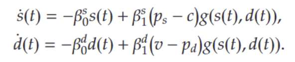
该模型基于市场产出与供需存量之间的关系,特别关注市场在各个成长阶段的最佳增长模式。这样的设定有助于我们掌握市场发展的内在规律,并为服务提供者在各个阶段设定合理的价格策略提供参考。

实际应用验证

文中综述了打车平台普遍采用的匹配及价格调整策略,同时提出了一种融入动态等候策略的创新方法。此创新方法旨在降低价格波动,提升平台运作效率。
利用Uber的数据进行实验,我们验证了动态定价和动态等待机制对打车平台性能的作用。这一发现显示出研究在现实中的应用潜力,对服务提供者来说,它具有实际的操作意义和价值,有助于提升打车平台等服务的实际收益。
在你所了解的市场里,有哪些因素可能会对服务提供者的价格调整策略造成显著作用?欢迎在评论区留言,分享你的看法。同时,别忘了点赞和转发这篇文章!