
金融交易界迎来了一种创新量子套利优化技术,该方法将货币兑换过程转化为一个二次无约束的二值优化问题。借助量子退火算法进行求解,这一进展无疑是划时代的。随着量子计算技术的进步,量子算法的应用范围日益扩大,金融市场便是其中之一。
传统套利算法的困境
求解最佳套利路径对传统算法来说是个NP难题。这样的算法耗时很长,效率不高。比如在期权定价中,面对大量数据,传统算法需要耗费大量时间。这就像在寻找宝藏时,过程漫长,道路崎岖。
传统算法通常在找到一条满足条件的交易路线后便会停止探索,这可能导致遗漏其他可能带来收益的路线。
量子退火算法的优势

量子退火算法问世后,情况发生了转变。它显著减少了计算所需的时间。以前那些棘手的NP难题,现在有了新的解决方案。此算法功能强大,不仅能找到最佳答案,还仿佛开启了一道快速计算的大门,能够一次性提供多个解决方案。

可以计算出所有有盈利潜力的交易路线。比如,能够展示出所有可能的交易方法,让交易者根据自己的资金状况和风险喜好,自由挑选合适的策略。
量子金融工程中的算法

在量子金融工程领域,量子算法的使用十分普遍。比如,Shor算法在处理大数质因数分解时,能实现指数级的加速。Grover提出的查找算法,在无序集合的搜索任务上,相较于传统算法,速度提升了平方级别。此外,量子蒙特卡洛算法在金融衍生品定价方面也展现出了出色的效果。
量子算法犹如一把万能之钥,为金融工程领域打开了众多曾经棘手的难题。那些尘封已久的宝藏,如今正逐渐被发掘。
传统套利检测算法原理

传统套利检测算法能在多项式时间内处理问题。比如,Bellman-Ford算法的时间复杂度为O(|V||E|),Floyd-Warshall算法则是O(|V|^3)。这两种算法在首次遇到负循环时便会停止搜索。
这类算法在运用时只追求找到一条交易路线,但金融交易者可能需要更多选择,而传统算法在这方面无法满足需求。
量子退火算法的交易方案优势
量子退火算法不仅能提供一个最佳交易策略,还能按照盈利潜力,逐一提供其他多个交易选择。当交易者面临资金限制时,他们可能会挑选风险较低但收益也较低的计划,或者冒险选择收益高但风险也高的方案。
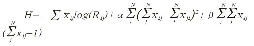
即便是为了符合闭环交易的要求,量子退火算法同样可以得出答案。它不仅分析了节点间的货币兑换的输入输出关系,还兼顾了是否位于闭环内的限制条件。

对货币交易市场的意义

这种方法给货币交易市场带来了新的希望。它将量子退火算法引入市场,利用其卓越的并行计算能力,有效解决了传统NP难题。

这仿佛是开辟了一条新的路径。在系统绝热演化过程中,交易者能够审视所有交易路径,包括收益前五的路径等详情,以此挑选出最合适的交易策略。关于量子交易算法是否将完全取代传统算法,这确实是个值得深思的问题。希望各位能点赞、转发,并在评论区展开讨论。